服务热线
18256212163
更新时间:2026-04-29
浏览次数:85次
更多推荐2026-05-11
2026-04-29
2026-04-28
2026-04-28
2026-04-28
2026-04-23
2026-04-08
2026-04-07
2026-03-31
2026-03-31
长波红外探测技术在军事、医疗及工业安防领域具有核心应用价值,其探测波段与室温物体的热辐射峰值高度契合,是实现非制冷热成像的关键

尽管二硒化钯展现出巨大潜力,但其实际应用仍面临严峻的性能权衡挑战。超薄的PdSe2薄膜虽然具备高电阻温度系数,却极易受环境气体吸附影响,而增加厚度虽能提升稳定性,却会导致电阻温度系数迅速衰减,限制了器件的感热灵敏度

针对上述问题,由电子科技大学等组成的团队利用泽攸科技的DMD无掩膜光刻机进行了系统研究,团队通过开发一种原位金纳米颗粒修饰策略并结合磁控共溅射与低温硒化工艺,成功克服了超薄二硒化钯薄膜在红外探测性能上的固有权衡难题。

本研究针对二维二硒化钯薄膜在红外探测领域面临的性能权衡难题,提出了一种可规模化制备的高性能方案。研究人员通过磁控共溅射技术在二氧化硅基底上沉积出金钯合金前驱体薄膜,随后利用三百摄氏度的低温热硒化工艺,诱导产生反应增强的相变,从而在多层二硒化钯薄膜中原位生长出分布均匀的金纳米颗粒。这种原位修饰策略不仅有效控制了金颗粒的掺杂浓度,还避免了传统物理图形化工艺的高昂成本以及化学溶液法可能带来的表面污染,为获得厚度小于十五纳米且具备高化学稳定性的超薄热敏薄膜奠定了物质基础。

图1 金修饰PdSe2薄膜的生长装置与表征
在构建高性能红外探测器件的过程中,图形化的精度直接决定了探测像素的一致性与响应质量。研究团队在制备用于红外吸收测量的氮化硅悬浮薄膜以及后续的复杂阵列加工中,精准使用了泽攸科技的DMD无掩膜光刻机进行电路定义与窗口开凿。该设备通过高度灵活的数字化曝光方式,在硅片上依次完成了金纳米颗粒修饰薄膜的沟道定义、行电极排布以及多层绝缘介质的对准加工,确保了器件在微米尺度上的结构完整性。得益于DMD无掩膜光刻机提供的图形化支持,整个工艺流程能够严格限制在三百摄氏度以下,这证明了该技术路线与标准互补金属氧化物半导体工艺的后端流程具有兼容性。


图3 金纳米颗粒修饰的PdSe2薄膜的测热效应表征
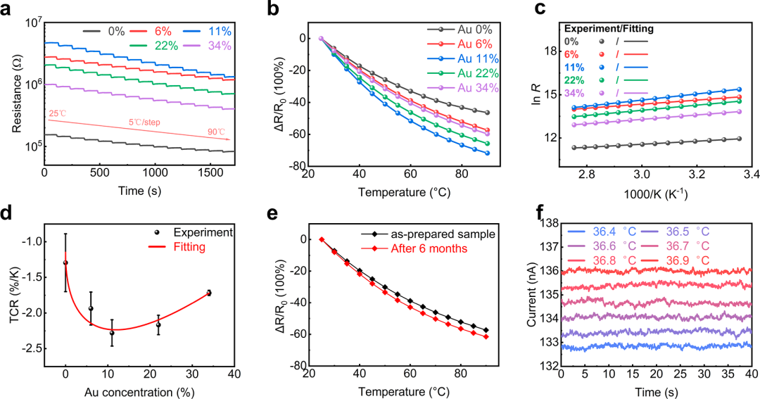
通过对不同金掺杂浓度薄膜的电学表征,研究发现其电阻温度系数呈现出非单调的变化规律,并在金浓度为百分之十一时达到了负二点二八每开尔文的优值。这一现象可以通过晶界工程与库仑屏蔽效应的竞争模型来解释:适量的金纳米颗粒在硒化过程中充当了成核抑制剂,显著减小了二硒化钯的晶粒尺寸,通过增加晶界密度提升了载流子散射,从而拉高了有效肖特基势垒。然而当金纳米颗粒浓度过高并相互接近时,金的导电特性会产生明显的静电屏蔽效应,导致晶界处的势垒高度下降,使得电阻温度系数随之回落。

图4 金纳米颗粒修饰的PdSe2薄膜中电阻温度系数变化趋势的模型分析,不同金浓度的PdSe2透射电子显微镜图像
基于优化后的材料体系,研究团队成功研制出具备高热分辨率的红外探测器,其温度分辨率高达十一点八毫开尔文,展现出感热灵敏度。在九点三微米波长的红外光照射下,掺杂百分之三十四金浓度的器件实现了每瓦二点九安培的高响应率,探测率达到五点一乘以十的八次方琼斯,显著优于未修饰的原始薄膜。最终通过集成的八乘八像素焦平面阵列,研究人员在室温非制冷条件下成功捕获了高保真度的热成像图形,这不仅验证了金纳米颗粒修饰二硒化钯薄膜在长波红外探测领域的巨大潜力,也为开发新一代低成本、集成化的热成像系统提供了技术支持。

图5 金纳米颗粒修饰PdSe2薄膜的红外响应及8 × 8红外成像演示
泽攸科技ZML系列是基于DMD的无掩膜光刻机,以DMD替代传统掩模版,可快速灵活设计光刻图案,支持二维及8位灰度光刻,能满足任意微米量级光刻需求,广泛应用于MEMS、微流控等多个领域。

泽攸科技ZML系列DMD无掩膜光刻机
泽攸科技专注于扫描电子显微镜、原位测量系统、台阶仪、纳米位移台、光栅尺、探针台、电子束光刻机、二维材料转移台、超高真空组件及配件、压电物镜、等离子体化学气相沉积系统等精密设备的研究,满足国家在科学精密仪器领域的诸多空白。泽攸科技以自主知识产权的技术为核心,依托一支专业的研发与生产团队,经过二十多年的技术积累,在半导体加工设备和材料表征测量领域已属于国内头部。公司承担和参与了国家重点研发计划、国家重大科研装备研制项目等多个重量级科研项目,多次实现国内材料表征测量设备的“国产替代",相关产品具有较好的国际声誉、产品检测数据被国际盛名期刊采纳。
返回列表